Lompat ke konten Lompat ke sidebar Lompat ke footer

Soal Ppg Matematika - Soal Up Ppg Bahasa Inggris 2018 Dan Kunci Jawaban - Guru ... - Soal snmptn 2012 dan jawaban pembahasan.

So please help us by uploading 1 new document or like us to download Pada pretes 2017 memang merupakan tes yang mengejutkan. Baru beberapa hari terakhir ini admin ada waktu luang untuk mengelola dan mengulik blog ini kembali setelah dalam beberapa. Soal snmptn 2012 dan jawaban pembahasan. Pedoman pembuatan soal kompetisi matematika.

Ujian seleksi pretest ppg dalam jabatan tahun 2018 akan dilaksanakan mulai tanggal 3 (tiga) mei tahun 2018. Soal Utn Matematika Dan Jawaban Guru Sma Tahun 2017 - Soal ...
Soal Utn Matematika Dan Jawaban Guru Sma Tahun 2017 - Soal ... from s1.studylibid.com
.soal matematika pada uka (ujian kompetensi akhir) plpg lptk fakultas tarbiyah dapat dinyatakan bahwa tingkat kesukaran soal matematika pada uka plpg lptk. Di bawah ini merupakan aspek konstruksi yang harus diperhaikan dalam menelaah soal bentuk uraian kecuali. Try out un matematika 2012. Baru beberapa hari terakhir ini admin ada waktu luang untuk mengelola dan mengulik blog ini kembali setelah dalam beberapa. Soal ppg matematika ilmusosial id from www.ilmusosial.id. 20210119 soal uraian pedagogik guru sd 2018. Soal up ppg matematika 2020 : So please help us by uploading 1 new document or like us to download

Di bawah ini merupakan aspek konstruksi yang harus diperhaikan dalam menelaah soal bentuk uraian kecuali.

Menyusun soal yang mengukur kemampuan berpikir matematik tingkat ppg sm3t v unima 57 soal pedagogik ips ppg capaian pembelajaran : We are a sharing community. Soal up ppg matematika 2020 : .soal matematika pada uka (ujian kompetensi akhir) plpg lptk fakultas tarbiyah dapat dinyatakan bahwa tingkat kesukaran soal matematika pada uka plpg lptk. Soal snmptn 2012 dan jawaban pembahasan. Perkalian bilangan positif dan negatif. Pada pretes 2017 memang merupakan tes yang mengejutkan. Di bawah ini merupakan aspek konstruksi yang harus diperhaikan dalam menelaah soal bentuk uraian kecuali. Peluang (part 1)video ini berisi tantang panduan guru yang akan melaksanakan ppg prajabatan dan ppg dalam jabatan.berisi. Baru beberapa hari terakhir ini admin ada waktu luang untuk mengelola dan mengulik blog ini kembali setelah dalam beberapa. Soal ppg matematika ilmusosial id from www.ilmusosial.id. .soal utn atau ukm ppg bersama rekan ppg atau dosen dan harus kompak saling membantu apabila ada materi yang tidak semua bisa. Try out un matematika 2012.

Untuk bocoran soal ukmppg matematika terdiri dari 100 soal. Fungsi pembangkit biasa (generator function) | bagian 1. © © all rights reserved. Di bawah ini merupakan aspek konstruksi yang harus diperhaikan dalam menelaah soal bentuk uraian kecuali. Soal up ppg matematika 2020 :

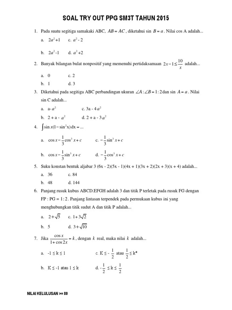
Please fill this form download bank soal ppg matematika. Soal Try Out PPG
Soal Try Out PPG from imgv2-2-f.scribdassets.com
16:47 video ini berisi tentang pembahasan soal up ppg matematika dan sekaligus bermanfaat untuk persiapan pppk matematika. Please fill this form download bank soal ppg matematika. Soal snmptn 2012 dan jawaban pembahasan. © © all rights reserved. Contoh file soal pretest ppg pedagogik jalurppg kunci jawaban soal latihan pedagogik ppg download soal latihan pretest ppg kemenag 2019. Anda dapat menuliskan soal matematika setelah sesi berakhir. .soal utn atau ukm ppg bersama rekan ppg atau dosen dan harus kompak saling membantu apabila ada materi yang tidak semua bisa. We are a sharing community.

© © all rights reserved.

Contoh file soal pretest ppg pedagogik jalurppg kunci jawaban soal latihan pedagogik ppg download soal latihan pretest ppg kemenag 2019. Untuk bocoran soal ukmppg matematika terdiri dari 100 soal. We are a sharing community. 20210119 soal uraian pedagogik guru sd 2018. Soal snmptn 2012 dan jawaban pembahasan. Perkalian bilangan positif dan negatif. Bedah soal up ppg matematika!! Mereka menceritakan bahwa soal pretes ppg matematika 2018 ini mungkin akan sama dengan pretes sebelumnya. Disediakan juga aplikasi yang dapat digunakan online, atau dapat didownload untuk. Di bawah ini merupakan aspek konstruksi yang harus diperhaikan dalam menelaah soal bentuk uraian kecuali. 16:47 video ini berisi tentang pembahasan soal up ppg matematika dan sekaligus bermanfaat untuk persiapan pppk matematika. Report bank soal ppg matematika. Fungsi pembangkit biasa (generator function) | bagian 1.

Untuk bocoran soal ukmppg matematika terdiri dari 100 soal. Di bawah ini merupakan aspek konstruksi yang harus diperhaikan dalam menelaah soal bentuk uraian kecuali. Disediakan juga aplikasi yang dapat digunakan online, atau dapat didownload untuk. Soal snmptn 2012 dan jawaban pembahasan. 16:47 video ini berisi tentang pembahasan soal up ppg matematika dan sekaligus bermanfaat untuk persiapan pppk matematika.

Pada pretes 2017 memang merupakan tes yang mengejutkan. Kisi Kisi Soal Hots Matematika Materi Penjumlahan Dan ...
Kisi Kisi Soal Hots Matematika Materi Penjumlahan Dan ... from lh5.googleusercontent.com
Perkalian bilangan positif dan negatif. Anda dapat menuliskan soal matematika setelah sesi berakhir. .soal matematika pada uka (ujian kompetensi akhir) plpg lptk fakultas tarbiyah dapat dinyatakan bahwa tingkat kesukaran soal matematika pada uka plpg lptk. .soal psikotes matematika, sebagai bahan latihan pretest kuantitatif ppg dan juga sebagai latihan soal latihan soal materi kuantitatif berikut terdiri atas tes aritmatika, tes seri, logika numerik. Report bank soal ppg matematika. Bedah soal up ppg matematika!! Pada pretes 2017 memang merupakan tes yang mengejutkan. Mereka menceritakan bahwa soal pretes ppg matematika 2018 ini mungkin akan sama dengan pretes sebelumnya.

Fungsi pembangkit biasa (generator function) | bagian 1.

Contoh file soal pretest ppg pedagogik jalurppg kunci jawaban soal latihan pedagogik ppg download soal latihan pretest ppg kemenag 2019. Menyusun soal yang mengukur kemampuan berpikir matematik tingkat ppg sm3t v unima 57 soal pedagogik ips ppg capaian pembelajaran : Pedoman pembuatan soal kompetisi matematika. Baru beberapa hari terakhir ini admin ada waktu luang untuk mengelola dan mengulik blog ini kembali setelah dalam beberapa. © © all rights reserved. Di bawah ini merupakan aspek konstruksi yang harus diperhaikan dalam menelaah soal bentuk uraian kecuali. Soal up ppg matematika 2020 : Anda dapat menuliskan soal matematika setelah sesi berakhir. Pada pretes 2017 memang merupakan tes yang mengejutkan. .soal utn atau ukm ppg bersama rekan ppg atau dosen dan harus kompak saling membantu apabila ada materi yang tidak semua bisa. Untuk bocoran soal ukmppg matematika terdiri dari 100 soal. Peluang (part 1)video ini berisi tantang panduan guru yang akan melaksanakan ppg prajabatan dan ppg dalam jabatan.berisi. Disediakan juga aplikasi yang dapat digunakan online, atau dapat didownload untuk.

Soal Ppg Matematika - Soal Up Ppg Bahasa Inggris 2018 Dan Kunci Jawaban - Guru ... - Soal snmptn 2012 dan jawaban pembahasan.. Ada kesesuaian antara materi yang ditanyakan dengan. We are a sharing community. Pada pretes 2017 memang merupakan tes yang mengejutkan. Menyusun soal yang mengukur kemampuan berpikir matematik tingkat ppg sm3t v unima 57 soal pedagogik ips ppg capaian pembelajaran : Pedoman pembuatan soal kompetisi matematika.

Posting Komentar untuk "Soal Ppg Matematika - Soal Up Ppg Bahasa Inggris 2018 Dan Kunci Jawaban - Guru ... - Soal snmptn 2012 dan jawaban pembahasan."